B13(H2O)n + (n = 1,2) and B12H(H2O)+
Observation of double-ring tubular B20(CO)n + (n = 1–8): emergence of 2D-to-3D transition in boron carbonyl complexes
Observation of boron carbonyl complexes B11(CO)n + (n = 1–6) and B15(CO)n + (n = 1–5) with conflicting aromaticity
Bottom-up approaches to form superatom-assembled 2D fewlayered borophanes and carborophanes and 3D α-B12, γ-B28, and B4C based on icosahedral B12 and CB11
联二瞬烯C20H18及其类似物C16H14和C18H18的流变机理和速率
Mass production of graphene using high-power rapid joule heating method
Prediction of endohedral borafullerenes X@B32C36 (X= CH4, BH4−, H2O, and NH3) with a B32C36 shell isovalent with C60
Observation of Aromatic B13(CO)n + (n = 1−7) as Boron Carbonyl Analogs of Benzene
Investigation on the Coordination Bonding Nature of Actinide-Doped Endohedral Borospherenes An@B400/+/− (An = U, Np, Pu, Am, Cm)
Investigation of Pb–B Bonding in PbB2(BO)n- (n = 0-2): Transformation from Aromatic PbB2- to Pb [B2(BO)2] -/0 Complexes with B [triple bond, length as m-dash] B Triple Bonds
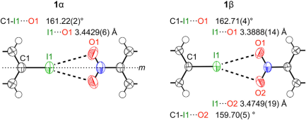
Fluxional halogen bonds in linear complexes of tetrafluorodiiodobenzene with dinitrobenzene
Superatom-assembled boranes, carboranes, and low-dimensional boron nanomaterials based on aromatic icosahedral B12 and C2B10
Cl©Li5Cl5−: A Star-Like Superhalogen Anion Featuring a Planar Pentacoordinate Chlorine at the Center
Perfect Tetrahedral B16X4 (X = P, As) as Non‑metal‑stabilized Borospherenes with a Truncated B16 Cage at the Center
Restriction on molecular fluxionality by substitution: A case study for the 1,10-dicyanobullvalene
Fluxional Hydrogen Bonds in Small Water Clusters (H2O)n (n = 2–6)
Fluxional bonds in analogs of bullvalene C9H9+, C9BH9 and C8NH9
Transition-metal-like bonding behaviors of a boron atom in a boron-cluster boronyl complex [(h7-B7)- B-BO]-
Perfect cubic metallo-borospherenes TM8B6 (TM = Ni, Pd, Pt) as superatoms following the 18-electron rule†
K(CO) − 8 and Rb(CO) − 8 : Cube-Like Alkali Octacarbonyls Satisfying the 18-Electron Rule